環境動態に関する解析的研究
4. 水域動態モデル
4.1 目的
水域動態モデルを利用した解析的研究の目的は、主に大雨時の放射性セシウムの河川、ダム湖での挙動の評価、放射性セシウムの堆積による線量率変化の評価である。
4.2 手法
水域動態モデルについては、1に示したように解析対象の領域および対象とする時間・空間スケールに対応できるよう、1~3次元の複数のモデルを整備している。これらは数値解析手法が異なり、また、乱流の計算手法や土壌の沈降や再浮遊などを表現する式が異なるが、いずれも水域での土壌や放射性セシウムの質量保存則に基づいて移流・分散方程式を解くことで共通している。
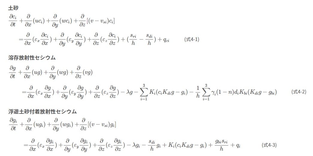
図4-1に水域動態モデルの概念図を示す。1次元のTODAM、3次元のFLESCOT、JAEAモデルでは、粒径の異なる3成分の土壌(通常は砂、シルト、粘土)およびそれらに付着する放射性セシウムと溶存態放射性セシウムの水域での輸送を解析する。放射性セシウムは水域の中で、浮遊する土壌および河床堆積物と収脱着を繰り返しながら、水流に乗って移流・分散する。また、浮遊する土壌は水流によるせん断応力の大小によって、沈降あるいは再浮遊する。土砂および放射性セシウムの質量保存式は以下のようになる。

ここで、\( c_{i} \)は土砂成分\( i \)の濃度(kg m-3)、\( u \)、\( w \)、\( v \)はそれぞれx方向、y方向、z方向の流速(m s-1)、\( v_{si} \)は土砂成分\( i \)の沈降速度(m s-1)、\( ε_x \)、\( ε_y \)、\( ε_z \)はそれぞれx方向、y方向、z方向の分散係数(m2 s-1)、\( s_{ri} \)は土砂成分\( i \)の再浮遊フラックス(kg m-2 s-1)、\( s_{di} \)は土砂成分\( i \)の堆積フラックス(kg m-2 s-1),\( h \)は水深(m)、\( q_{ci} \)は土砂成分\( i \)の湧き出し項(kg m-3 s-1)、\( g \)は溶存放射性セシウム濃度(Bq m-3)、λは減衰係数(s-1)、\( K_{i} \)、\( K_{bi} \)は土砂成分\( i \)の浮遊土砂および河川堆積物に対する収脱着速度定数(s-1)、\( K_{di} \)は土砂成分\( i \)の収着分配係数(m3 kg-1)、\( g_{i} \)は土砂成分\( i \)の浮遊土砂付着放射性セシウム濃度(Bq m-3)、\( γ_{i} \)は土砂成分\( i \)の比重(-)、\( n \)は河川堆積物の間隙率(-)、\( d_{i} \)は土砂成分\( i \)の粒径(m)、\( g_{bi} \)は河川堆積物中の土砂成分\( i \)の放射性セシウム濃度(Bq kg-1)、\( q_{i} \)は土砂成分\( i \)付着放射性セシウムの湧き出し項(Bq m-3 s-1)である。堆積・再浮遊フラックスについては、非粘着性の砂ではDu Boys式やToffaleti式(Vanoni, 1975)、粘着性のシルト・粘土ではPartheniades and Krone式(Vanoni, 1975)を利用している。
TODAMは有限要素法、FLESCOTは有限体積法により上記の質量保存式を離散化している。また、JAEAモデルとして3次元方向すべてを直交格子を用いた差分法により離散化するコードを開発するとともに、シミュレーション対象モデルの地形を正確に表現するため水平方向を3角格子に分割し有限要素法で離散化し、鉛直方向を差分法で離散化するコードを開発している。

図4-1 水域動態モデル概念図
4.3 結果および考察
ダム湖は河川に比べて断面積が大きいため、水の流速は河川からダム湖に流入すると急激に低下する。流速の低下、すなわちせん断応力の低下は浮遊土砂の沈降、湖底への堆積を促進させる。
ダム湖内での土砂および放射性セシウムの挙動を解析によって評価するに当たり、まずモデルの検証が必要である。そのため、TODAM、Nays2D、FLESCOTの検証のために、2013年9月の台風時に、農林水産省東北農政局によって観測された、大柿ダム湖の上流および下流の河川流量、浮遊土砂濃度、放射性セシウム濃度のモニタリングデータを利用した。図4-2、図4-3はダム湖上流の観測点における浮遊土砂濃度および放射性セシウム濃度の実測値およびFLESCOTによる解析の入力値を示す。パラメータを適切に設定して解析した結果、下流観測点における浮遊土砂濃度、放射性セシウム濃度(図4-4、図4-5)は、実測値と整合的であり、モデルが妥当であることが確認された。同様の検証は、TODAM、Nays2Dでも実施している(Kurikami et al., 2014; Yamada et al., 2015a; Kurikami et al., 2016)。モデル間により若干の違いはあるが、対象とした降雨イベント時に大柿ダム湖に流入した放射性セシウムのうち、下流河川まで流出した量は10%以下であることがわかった。本降雨イベントが発生した時、余震によるダム堤体の破損を防ぐために水位が下げられていた。そこで、運用時を想定し仮想的に水位を上げた解析を実施したところ、放射性セシウムの流出率は半分以下に低下することがわかった(表4-1)。
次に、容量の異なる仮想的なダム湖に対してFLESCOTを用いた解析を行い、降雨の強度や継続時間、ダム湖容量の違い(あるいは水位)、収着分配係数の違いが、各粒径の浮遊砂や放射性セシウムの下流への流出率に与える影響について調べた(Kurikami et al., 2016)。図4-6に結果の一例を示す。図は降雨時におけるダム湖への河川水流入量が多いほど下流に流出する放射性セシウムの割合は上昇する傾向を示している。また、同じ流入量であっても、長い降雨より短期間に集中する降雨の方が流出割合は高くなることが示された。さらに、水位が高いほど(あるいは河川流入量に対するダム容量が大きいほど)、浮遊土砂、放射性セシウムとも流出率が低下すること、その際には、相対的に沈降速度の速いシルトの寄与率が低下し、沈降速度の遅い粘土の寄与率が上昇することがわかった(図4-7)。図4-8には解析で想定された、大雨時にダム湖に流入した土砂・放射性セシウムの挙動のイメージ図を示す。下流への汚染抑制対策としてダムの水位管理が効果的であり、移行しやすい粒径を特定することで、シルトフェンス等の設計に利用できる可能性が示唆された。
表4-1 異なるダム湖水位に対する浮遊土砂および137Csの下流への流出率
| 低水位時(実際の状態) E.L. 140m |
中水位時 E.L. 155m |
高水位時(通常運用時) E.L. 170m |
|
|---|---|---|---|
| 砂の流出率 | 0.0 % | 0.0 % | 0.0 % |
| シルトの流出率 | 4.5 % | 2.3 % | 1.6 % |
| 粘土の流出率 | 54 % | 44 % | 34 % |
| 137Csの流出率 | 9.0 % | 5.7 % | 3.5 % |
| シルト付着成分の寄与率 | 40 % | 25 % | 18 % |
| 粘土付着成分の寄与率 | 60 % | 75 % | 82 % |

図4-2 ダム湖上流の観測点における浮遊土砂濃度の実測値およびFLESCOTによる解析の入力値
(Kurikami et al.(2016)を修正)

図4-3 ダム湖上流の観測点におけるi137Cs濃度の実測値およびFLESCOTによる解析の入力値
(Kurikami et al.(2016)を修正)

図4-4 ダム湖下流の観測点における浮遊土砂濃度の実測値およびFLESCOTによる解析の入力値
(Kurikami et al.(2016)を修正)

図4-5 ダム湖下流の観測点における137Cs濃度の実測値およびFLESCOTによる解析の入力値
(Kurikami et al.(2016)を修正)

図4-6 降雨の強度や継続時間、ダム湖容量の違いが137Csの下流への流出率に与える影響
(Kurikami et al.(2016)を修正)

図4-7 降雨規模と各粒径の137Cs流出寄与率(長い雨)
(Kurikami et al.(2016)を修正)

図4-8 大雨時にダム湖に流入した土砂・放射性セシウムの挙動のイメージ
河川の下流に位置する河川敷に放射性セシウムの付着した堆積土砂が多く堆積しているとともに、その堆積分布には偏りがあることが実際の観測から確認されている。この現象のメカニズムを理解するために北海道大学により開発された2次元河川シミュレーションコードNays2D(Shimizu, 2003、 Shimizu et al., 2012)をJAEAで並列化し、JAEAの大型並列計算機を用いてシミュレーションを実施した(Yamada et al., 2015b)。
まず、河川敷への堆積のメカニズムを調査するため、図4-9に示した請戸川の河口付近をシミュレーション範囲とし、境界条件として洪水時の典型的な流量・浮遊砂量を与えてシミュレーションを実施した。その結果、図4-9において赤丸で示した河口付近の横断面での土砂の堆積を評価したところ、増水時に河川敷まで冠水した水が減水時に引いていく際に河川敷に堆積することがシミュレーションにより確認できた(図4-10)。
次に土砂の堆積位置の偏りであるが、実際に2015年9月の台風時の流量とのデータを利用したシミュレーションを実施し、土砂の堆積量を計算するとともに、観測により得られた請戸川の浮遊砂に付着しているセシウムの濃度を利用して、堆積セシウム量を評価した結果を図4-11に示す。この結果から、河川が歪曲している部分に堆積しやすい傾向があることが確認できる。また、時期は異なるが2013年に無人ヘリコプターによって測定された空間線量率の分布を図.4-12に示す(Sanada et al., 2013)。この結果から、堆積したセシウム量が多い地点では空間線量率が高くなる傾向にあることが確認できることから、シミュレーションは洪水時の放射性セシウムの動態を評価するための優れた方法の1つであると考えられる。

図4-9 シミュレーション対象の請戸川の河口付近。
赤丸で示した横断面での土砂の堆積を評価した。
-

(a) 洪水前
-

(b) 洪水中
-

(c) 減水中
-

(d) 洪水終了後
図4-10 図4-9の赤丸で示した横断面での土砂の堆積量。
緑線は地形、青線は水面を表しており、赤丸は堆積位置、その濃淡は堆積量を示している。洪水前や洪水中は堆積していないが、減水して水位が下がっている際に河川敷に堆積し、洪水終了後は、堆積した土砂がそのまま残ることが確認できる。

図4-11 シミュレーションにより評価した2015年9月の台風通過時のセシウム137の堆積量

図4-12 2013年に無人ヘリコプターにより計測された空間線量率
河川により河口まで運ばれた溶存態および土砂に付着した放射性セシウムは、最終的には海洋に流入する。そのため、河川により運ばれたセシウムの沿岸域での動態をシミュレーションにより評価した。
4.1において説明した直交座標系のJAEAモデルは淡水を想定したものであるが、海水と淡水の密度の違い、潮汐の影響、コリオリ力等の海洋特有の機能を追加することで海洋のシミュレーションも実施することができる。海洋のシミュレーションを実施する際には非常に広範囲を対象とするため、計算量の観点からメッシュサイズはできるだけ大きくするのが望ましい。一方で、地形変化の大きい沿岸に近い地点では地形を正確に表現するためにメッシュサイズを小さくする必要がある。JAEAモデルでは、すべての領域を同じメッシュサイズで分割する必要がある。一般にこのような場合には精度の観点から必要とされる最も小さいメッシュで計算することになるが、沿岸を含んだ広範囲のシミュレーションをする際には、沿岸域の地形変化に合わせて設定した小さいメッシュサイズを用いて計算することになる。つまり、沿岸から離れた地形変化の少ない地点でもその小さいメッシュサイズで計算することになり、計算量的には望ましくない。この問題を解決するため原子力機構では図4-13のように地形を考慮して計算範囲を複数のブロックに分割し、それぞれのブロックを適切なメッシュサイズを与えたJAEAモデルを利用して計算するネスティング構造のシミュレーションコードを開発した。
このコードを利用して図4-14に示す請戸川から福島第一原発(1F)を含んだ範囲をシミュレーションした。境界条件として洪水時の典型的な流量、浮遊砂量等を仮想的に与えた。ただし、気象データは台風が日本列島に近づいた2014年10月13日の観測データを利用した。図4-15に洪水中の請戸川および前田川の河口域の流れを示している。この結果から、流入する河川水は海面を広がっていることが確認できる。これは河川水の塩分濃度が0であるとともに、水温が高いため、海水よりも密度が小さいためであると考えられる。一方で、海底での流れでは海面とは逆に河口へ向かう流れができており、一度沿岸から離れた河川由来の土砂等が沿岸方向に戻されることがシミュレーションから確認できる。
また、海に流入したセシウムの溶存体は南下し、濃度はかなり低くなるが海底から1F港湾内に流入すること、および、クレイやシルトも同様に流入し、その一部分は港湾内に堆積することが図4-16および図4-17に示したシミュレーション結果から確認できる。このことは、1Fの港湾内の放射性物質の動態を評価するためには河川由来の放射性物質の影響も考慮する必要があることを示唆している。

図4-13 5段ネスト構造の模式図。
領域が入れ子構造になっており、大きい領域は大きいメッシュサイズで、小さい領域は小さいメッシュサイズで計算し、それらの境界で計算結果のやり取りを行う。

図4-14 請戸川から福島第一原発を含んだシミュレーション範囲のネスト構造。
請戸川、前田川の河口および1F港湾付近は5mのメッシュサイズで計算し、最も大きい計算領域は150mのメッシュサイズで計算する。

図4-15 洪水時の河口付近の流れ、海面では河川から流入した河川水が同心円状に広がっていることが確認できるが、海底では河口に向かう流れが発生していることが確認できる。

図4-16 台風による洪水時の河川由来のセシウム溶存体の拡散状況。
1Fの港湾口の海底から流入していることが確認できる。ただし、このシミュレーションでのセシウム溶存体の濃度や量は仮想的に設定した量であり、実際の値とは一致していないことに注意が必要である。

図4-17 台風による洪水終了30時間後の河川由来の土砂の堆積分布。
1F港湾内まで移動して堆積していることが確認できる。ただし、このシミュレーションでの浮遊砂の濃度や量は仮想的に設定した量であり、実際の値とは一致していないことに注意が必要である。
4.4 今後の課題
これまでの解析で概ねダム湖内の放射性セシウムの挙動は理解できた。一方、ダム湖内の温度躍層、浮遊土砂のフロキュレーションの影響、湖底での溶存態発生などについては解析的な再現が不十分であり、そのため、部分的に解析結果と実測値が整合していない。これらは、下流への放射性セシウムの流下に少なからず影響を及ぼすことから、解析精度の向上は今後の課題である。
また、これまでのシミュレーションによる解析により、放射性セシウムが付着した土砂が河川敷に堆積するメカニズムおよび堆積場所の傾向を理解できた。一方で、数メートルのメッシュサイズで計算しているため、河口に近く河道が広い部分では問題がないが、河口から離れた河道が細い部分ではその形状を適切に表現できない可能性があり、そのような地点でのシミュレーション結果の精度には問題がある可能性がある。そのため、地形に合わせて適切な形や大きさの計算メッシュを用いたシミュレーション手法が必要となるが、計算量が増大するとともに効率的な並列計算が困難になる。これらの問題点については今後の課題である。
さらに、開発したコードにより、海洋に流入した河川由来の土砂等の振る舞いを評価することができた。しかしながら、現状では十分な並列化・高速化を行っていないため、シミュレーションには非常に多くの計算時間がかかる。そのため、系統的なシミュレーションを効率的に実施するためには、さらなる並列化・高速化が必要である。
5. 深度移行モデル
5.1 目的
深度移行モデルを利用した解析的研究の目的は、土壌深度方向の中長期的な放射性セシウム分布、空間線量率の予測である。
5.2 深度移行モデルの概要
大気核実験やチョルノービリ(チェルノブイリ)事故によるフォールアウト後の調査によって、放射性セシウムは土壌に収着しやすい性質があるが、数年から数十年のオーダーで考えると、緩やかに土壌の深度方向に移動することがわかっている。土壌中の放射性セシウムの移動や収脱着の特性は、空間線量率の物理減衰以上の低下に寄与するほか、植物への移行や、侵食・堆積など地表面での放射性セシウム移動にも影響を与える(He and Walling, 1997)ことから、放射性セシウムの深度方向への移行に係る物理化学的現象の解明は非常に重要である。
放射性セシウムの実際の深度分布は、フォールアウト初期において指数分布型を示し、その後緩やかに深部へ移行しつつも指数分布型を保つか、深いところまでテーリングする傾向を示す(例えば、Antonopoulos-Domis et al., 1995; Matsuda et al., 2015; Takahashi et al., 2015)。しかし、収脱着の瞬時平衡に基づく移流拡散モデルは正規分布型となり、上記のような傾向を表現することができない。あるいは不可逆的な収着を考慮することで指数分布型を再現するDSFモデル(Toso and Velasco, 2001)があるが、その後の緩やかな挙動を表現できない。そこで、粘土鉱物に収着したセシウムの観察結果や、土壌の脱着試験、現地でのセシウム移動観測などの結果を踏まえ、この原因が可逆的あるいは不可逆的な収脱着のカイネティックスにあると考え、それらを考慮した物理化学モデルmDSFを開発した(図5-1、Kurikami et al., 2017)。なお、既存のDSFでは不可逆的な収着にのみカイネティクスを導入し、可逆的な収脱着については瞬時平衡を仮定している一方、本モデルは可逆的な収脱着についてもカイネティックスを導入していること、特に収着と脱離に対して異なる反応速度を与えることが可能であることが重要な改良点である。
本モデルにおける、水中の放射性セシウム濃度\( C_w \)(Bq m-3)の質量保存式は以下のとおりである。

ここで、\( ε \)は間隙率(-)、\( S_r \)は飽和度(-)、\( t \)は時間(s)、\( v \)はダルシー流速(m s-1)、\( z \)は深度方向の座標(m)、\( D_e \)は有効分散係数(m2 s-1)、\( ρ_d \)は土壌の乾燥密度(kg m-3)、\( K_r \)、\( K_i \)は可逆成分および不可逆成分の収着分配係数(m3 kg-1)、\( k_r \)、\( k_i \)は可逆成分、および不可逆成分の収着速度定数(s-1)、\( C_{sr} \)、\( C_{si} \)は可逆成分、不可逆成分の土壌中放射性セシウム濃度(Bq kg-1)、\( λ \)は崩壊定数(s-1)である。
土壌への可逆、不可逆の収脱着については以下のようにカイネティクスを考慮した。

ここで、\( k_{rs} \)、\( k_{rd} \)は可逆成分の収着速度と脱着速度、\( k_{is} \)は不可逆成分の収着速度である。

図5-1 開発したモデル概念図
5.3 結果および考察
一般的なパラメータを用いて解析し、実測値と比較した結果を図5-2に示す。同図には既存のモデル(瞬時平衡を仮定した簡易拡散モデル、不可逆収着のみにカイネティクスを仮定したDSFモデル)の結果も示した。既存モデルでは、指数分布やテーリング、緩やかな移動が表現できない一方、本モデルは実測値とよく整合する結果を得た。
また、本モデルを利用して、可逆・不可逆の収脱着、収着速度や脱着速度の変化が放射性セシウムの深度分布に与える影響をパラメータスタディにより調査した(図5-3)。その結果、指数分布型は収着のカイネティクスを考慮したときのみ発現することがわかった。すなわち、フォールアウト初期の指数分布型は収着のカイネティクスが影響しており、フォールアウト後短期間に形成されると考えられた。また、指数分布の勾配(あるいは緩衝深度)は、収着速度と拡散係数の比と相関があることがわかった。さらに、深いところまでテーリングが生じる(二重指数分布を示す)のは、収着速度より脱着速度が小さく、浅い箇所での脱着が時間とともに緩やかに進行し、より深いところでの収着が緩やかに継続しているためと推察された。そのため、見かけの収着分配係数は浅いところでは大きくなることが推察された。放射性セシウムの土壌深度方向への移行は、セシウムの不可逆サイトへの収着の進行と共に緩やかになり、プロファイルは変化しなくなると考えられる。
近年、指数分布だけではなく、濃度ピークが地表面下に存在する分布も見られることが多くなってきた。本モデルを用いて、このような分布が再現可能かどうかを検討した(図5-4)。その結果、移流による効果だけではピークが時間と比例して移動するなど実測と乖離した傾向を示す一方、表層付近の土壌物性の深度依存性を考慮した解析ではピークがわずかに移動しつつも全体として深度分布は大きく変化しないという実測の現象に近い結果となった。これらの試行的な解析から、濃度ピークが地表面下に存在する分布は、有機物含有量の違いに伴う収着特性の深度依存性など、土壌物性の深度による違いが影響している可能性が示された。
図5-5に解析から推定された放射性セシウムの深度方向への移行のメカニズムと分布の関係の概念図を示す。
図5-2 実測値との比較 (a)2011年12月、(b)2013年11月
(Kurikami et al.(2017)を修正)
図5-3 収脱着パラメータの違いによる深度プロファイルへの影響
(Kurikami et al.(2017)を修正)
図5-4 濃度ピークが地表面下に存在する分布の再現を試行した解析
(a)移流効果を想定した解析、(b)土壌物性の深度依存性を考慮した解析
(Kurikami et al.(2017)を修正)

図5-5 解析から推定された放射性セシウムの深度方向への移行のメカニズムと分布の関係の概念図
5.4 今後の課題
本モデルにより、観測されている放射性セシウムの深度分布を理解する物理化学的な解釈を提供することができた。一方、移行は本モデルで考慮した物理化学プロセスのみならず、生物擾乱や侵食・堆積、土壌の凍結・融解、コロイド移行(例えば、Miyahara et al., 2015; Konoplev et al., 2016)などにも影響される。より詳細な実験や観測が必要である。
6. 線量率評価モデル
6.1 目的
線量率評価モデルを利用した解析的研究の目的は、放射性セシウムの動態に伴う空間線量率の予測である。
6.2 手法
平坦な土地という単純なジオメトリに対して、放射性セシウムの様々な深度分布や空間分布、除染前後の評価を行うことを目的とし、迅速かつ簡易に空間線量率を算出するツールADRETを開発した(Malins et al., 2016a)。このツールは、図6-2に示すような、土壌を水平方向および鉛直方向に分割したグリッドに対して任意の放射性セシウム分布を与え、中央部分の空間線量率を以下の式により算出する。

ここで、\( \dot{H}^{*}(10)\)は空間線量率、\( A_{v,n,i,j,k} \)は、セル\( (i,j,k) \)における核種\( n \)の濃度(Bq m-3)、\( c_{n,i,j,k} \)は線量換算係数(µSv h-1 per Bq m-3)である。換算係数は事前にPHITSで求めておく。一度換算係数を算出しておけばその後大型計算機を使うことなく、通常のデスクトップPCで数秒も掛からず計算することが可能である。
広場や田畑などの平坦地では、放射性セシウムの土壌深度方向の分布や水平方向の不均質性が空間線量率を規定するが、山地では地形の影響も無視できない。図6-5にPHITSによる簡易的な谷地形、山地形における線量率の解析結果を示す(Malins et al., 2015a)。土壌中の放射性セシウム濃度が同じ場合、山地形では平坦地よりも線量率は低く、谷地形では高くなり、その傾向は地上から高いほど顕著であることがわかる。森林では土地の起伏の影響のみならず、樹木への付着分布、リター、土壌層での放射性セシウムの分布、樹木による遮蔽などが空間線量率に影響を与える。一方、都市部では大小の建物、アスファルト舗装された道路や駐車場、庭、田畑など様々な物性を持つ構成物が入り混じり、放射性セシウム分布も線量率分布も不均質である。
森林や都市部などの線量率の詳細な評価のため、現在、上記のような複雑な地形・地上構造物を考慮した空間線量率分布を解析するためのツール3D-ADRESの開発を進めている。図6-6にモデル化手法の概念図を示す。地形については数値標高モデルDEM(Digital Elevation Model)を使用し、地上構造物については航空写真を利用して建物や樹木を判別し、PHITS用の入力ファイルを作成する。建物や樹木のジオメトリモデルは代表的なものを仮定する。本ツールを用いて、川内村荻地区の森林(佐久間ほか、2018)、大熊町・富岡町の市街地(Kim et al., 2018)を対象とした解析を実施した(図6-7)。

図6-1 平坦な土地における放射線の影響範囲

図6-2 線量率評価モデルADRETのイメージ図

図6-3 解析結果と実測値との比較

図6-4 除染効果の解析(Malins et al.(2016b)を修正)
6.3 結果および考察
広場や田畑など、平坦な土地においては、放射性セシウムの土壌深度方向および水平方向の分布によって空間線量率が決まる。まず、基礎的な解析として、平坦な土地において放射性セシウムが深度方向に指数分布している状況において線量率がどの程度の距離から影響しているかについてPHITSを用いた解析を実施した(図6-1)。緩衝深さによって多少影響距離は異なるが、地上1m高さの空間線量率に与える放射線のおよそ90%が半径100m以内に分布する放射性セシウムに起因していることがわかる。
JAEAは、2011年12月以降、周辺に建物や樹木のない平坦な箇所において、およそ80箇所において放射性セシウムの深度分布および空間線量率を測定している(Matsuda et al., 2015)。この測定結果と解析結果を比較し、両者が整合することを確認した(図6-3)。また、除染モデル事業(日本原子力研究開発機構, 2012)を実施し、その後のフォローアップ調査で放射性セシウムの不均質な水平広報の分布が得られている大熊町夫沢地区を対象とした解析により、空間的な不均質性が空間線量率のばらつきに影響を及ぼしていることがわかった。
また、田畑の除染手法である表土剥ぎ取り、反転耕、転地返しに対して空間線量率の低減効果を解析し、除染モデル事業における実験結果と比較し、除染効果の検証を行った。さらに、放射性セシウムの深度分布、除染対策を行う深度、除染効果の関係などについて明らかにし(例えば、図6-4)、放射性セシウムの深度方向への移行とともに除染効果が低下する可能性を示した(Malins et al., 2016b)。
森林に対する解析においては、樹冠から林床、リター層から土壌層への放射性セシウムの移動による線量率変化を解析した。樹冠から林床に放射性セシウムが移動した場合、地上1m高さの空間線量率は、放射線源が近くなるために上昇した。また、リター層から土壌層へ放射性セシウムが移動した場合、リター層および土壌層による遮へいの影響で線量率は低下した。実測の空間線量率はおおよそ物理減衰程度であるが、これは、放射性セシウムの樹冠から林床への移行による上昇分と、リター層から土壌層への移行による低下分が相殺されているためと推定された(佐久間ほか、2018)。
市街地に対する解析については、建物・樹木を仮想的に取り除いた解析、および建物直下に周辺と同様の沈着量を与えた解析を行うことで、建物・樹木による遮へいの影響や、建物直下の未汚染の影響を推定した。その結果、市街地においては建物・樹木による遮へい効果によってそれらがない場所に比べて線量率が低くなること、建物直下が汚染していないことによりさらに線量率が低くなることが明らかとなった(Kim et al., 2018)。

図6-5 簡易的な山地形、谷地形における線量率の解析結果(Malins et al., 2015a)

図6-6 地形・地上構造物を考慮した線量率評価のためのPHITS計算用ジオメトリ作成ツール3D-ADRESの概念図

図6-7 川内村荻地区の森林(佐久間ほか、2018)、大熊町・富岡町の市街地(Kim et al., 2018)を対象とした解析の例
6.4 今後の課題
森林や市街地での線量率分布の検証を通じて、空間的な放射線分布を精緻化することが今後の課題である。
7. 農林水産物への移行を考慮した流域動態コンパートメントモデル
7.1 目的
農林水産物への移行を考慮した流域動態コンパートメントモデルを利用した解析的研究の目的は、環境中の放射性セシウムの動態が農林水産物中の放射性セシウムに与える影響の評価である。
7.2 手法
1章に述べたように本プロジェクトでは現象論的なモデリングアプローチを基本とし各領域において物理化学的なメカニズムに基づいてモデル化する方法を主としているが、一方で、森林や陸地での放射性セシウムの挙動、森林・陸地から河川、ダム湖を経由して海に至る過程での放射性セシウムのマスバランスやフラックスを大まかに捉え、そのような環境動態と農林水産物中セシウム濃度の関係を明らかにしていくことも重要である。そこで、そのような流域規模の放射性セシウムの環境動態が農林水産物中セシウム濃度に与える影響を評価することを目的として、河川水系全体を考慮した簡便なコンパートメントモデルCMFWを構築した(操上ほか、2017)。
図7-1に、考慮した移行経路を示す。モデルは森林部分と地表水系部分に分かれており、森林部分、地表水系部分は任意に組み合わせることが可能である。森林部分は葉、枝、樹皮、辺材、心材、落葉層、土壌層のコンパートメントから成っており、地表水系部分は河川、河床・河川敷、湖沼、湖底堆積物、農地・都市域、近海、海底堆積物、外洋のコンパートメントから成っている。図7-2に請戸川流域を想定したコンパートメント接続の例を示す。

図7-1 CMFWで考慮した移行経路(動的コンパートメント間)

図7-2 請戸川流域を想定したコンパートメント接続
7.3 結果および考察
森林部分の移行係数については、林野庁の観測結果(林野庁, 2015)のうち、川内村のスギ、大玉村のコナラの部位別の放射性セシウム濃度分布の経時変化に合うように、逆解析により各部位の初期沈着量の比率および移行率を求めた。このとき、落葉層から土壌層への移行速度を1成分と仮定すると落葉層のセシウム濃度の経時変化の再現性が低かったため、落葉層から土壌層への移行速度を2成分に仮定した。その結果、森林部分の部位別の放射性セシウム濃度の経時変化は実測値と良好にフィッティングした(図7-3)。フィッティングにより得られた初期沈着量の比率からフォールアウト時の遮断率を算出した結果および、樹冠から落葉層への移行傾向は、Kato et al.(2017)の実測値と整合的であった。
次に、図7-2で示した請戸川流域を対象とした試解析を実施した。各コンパートメントの初期値は航空機モニタリングから面積に応じて算出し、コンパートメント間の移行率は文献値から設定した。図7-4に解析で得られた請戸川流域内のフォールアウト5年後の放射性セシウムのストック・フローを示す。大柿ダム湖での流出率や海への流出量など実測値とおおよそ整合することを確認した。また、河川水や海水中の放射性セシウム濃度も実測値とオーダーで整合する結果となった。
また、太田川上流域を対象として、落葉の河川への直接流入、落葉層から河川への側方流入、土壌層から河川への溶出の各経路が渓流魚の放射性セシウム濃度に与える影響を解析的に検討した。図7-5に、河川への放射性セシウムの流入経路の異なる複数の解析ケースにおける渓流魚中の放射性セシウム濃度の解析結果を示す。実測値は、太田川と隣接する新田川のアユのデータ(水産研究・教育機構, 2017)である。この結果から、渓流魚中の放射性セシウム濃度は、落葉の河川への直接流入と落葉層から河川への側方流入が主に寄与していることが示唆された(操上・佐久間、2018)。このようなセシウム供給源、経路の特定は将来予測や対策の検討に役立つことが期待される。

図7-3 森林内コンパートメントのフィッティング状況
(a)1成分のみ考慮したケース、(b)2成分を考慮したケース

図7-4 請戸川流域内のフォールアウト5年後の放射性セシウムのストック・フロー

図7-5 森林から河川への各経路が渓流魚の放射性セシウム濃度に与える影響
7.4 今後の課題
農林水産物に取り込まれる放射性セシウムの汚染源、汚染ルートの解明、対策検討を行うことが今後の課題である。
8. 放射性セシウムの移行に伴う線量率変化
本プロジェクトにおいては、放射性セシウムの環境中での動態が線量率に与える影響について評価することとしている。この場合、動態モデルと線量率評価モデルを組み合わせる必要がある。
これまでの放射線のモニタリングから、空間線量率は物理減衰以上に低下が早いことが示されており(例えば、Saito and Onda, 2015)、またそれが放射性セシウムの土壌深度方向への移行に拠ることがわかっている(Mikami et al., 2012)。そこで、5章で示した放射性セシウムの土壌深度方向への移行を解析するmDSFモデル(Kurikami et al., 2017)と、6.2節で示した線量率解析ツールADRET(Malins et al., 2016a)を組み合わせて、放射性セシウムの深度方向への移行に伴う空間線量率の変化を予測した(図8-1、操上・Malins、2017)。その結果、空間線量率は、フォールアウト後10年程度まで放射性セシウムの土壌深度方向への移動により物理減衰以上となり、その効果は、放射性セシウムの土壌への不可逆的な収着の進行とともに低下することが示された。
また3章および4章で示したGETFLOWS、Nays2Dによる流域規模あるいは河川での放射性セシウムの動態解析と、6.2節で示した線量率解析ツールADRET(Malins et al., 2016a)を組み合わせることで、大きな降雨イベントによる線量率の空間的な変化について試解析を行った(Malins et al., 2015b)。図8-2、図8-3に、GETFLOWS、Nays2DおよびADRETで推定された2011年9月の台風前後の空間線量率変化の分布を示す。実測との比較による検証が十分でないものの、流域規模での放射性セシウムの動態が線量率変化に与える影響について評価する解析プロセスを示すことができた。なお、解析では河川沿いに線量率が上昇する箇所が見られるが、これは上流から相対的に放射性セシウム濃度の高い土砂が河川に流入し、一部が河床や河川敷に堆積するために生じている現象であり、事故後2年程度は、地上あるいは無人ヘリコプターでの河川敷を対象とした線量率測定(眞田ほか、2014; Saegusa et al., 2016)などでもその傾向が測定されている。しかし、近年は河川を流下する土砂中の放射性セシウム濃度の低下により、河川敷等に堆積する土砂によって高濃度の土砂が埋没することで、むしろ線量率は低下傾向にある(中西、2016)が、解析ではそこまで再現できていない。

図8-1 放射性セシウムの深度方向への移行に伴う線量率の低下と不可逆サイトへの収着率の関係
(mDSFモデルとADRETを組み合わせた解析)

図8-2 2011年9月台風前後の線量率変化の分布
(GETFLOWSおよび線量率評価モデルを組み合わせて推定)

図8-3 2011年9月台風前後の請戸川・高瀬川合流部付近での線量率変化の分布
(GETFLOWS、Nays2Dおよび線量率評価モデルを組み合わせて推定。左は無人ヘリコプターを用いた線量率測定結果(2012年12月)、眞田ほか、2014)
9. モデル検証
モデルの検証については各項で記載したものもあるが、本プロジェクトにおける解析的研究では、調査結果の解釈を重視したモデル化を意図しており、本項では、特に実測値との比較によるモデル検証事例を抽出し再掲する。
- 河川から流出する放射性セシウムフラックスの実測との比較(陸域動態モデル)
- 陸域動態モデルSACTによる阿武隈川流域および浜通り河川流域を対象とした解析を実施した(2.2節)。解析結果として得られた海への流出率を実測値(あるいは実測に基づく評価値)と比較した結果、概ね解析結果は妥当であることを確認した(Kitamura et al., 2014)。
- 陸動態域モデルGETFLOWSによる、浜通り5河川流域の解析を実施した(3章)。境界条件として与えた降雨に対し、解析結果として得られる河川流量、浮遊土砂濃度、137Cs濃度は、実測値を概ね再現しており、本モデルが適用可能であることを確認した(Kitamura et al., 2016; Sakuma et al., 2017)。
- 河川水中の放射性セシウム濃度の実測との比較(陸域動態モデル、水域動態モデル)
- 水域動態モデルTODAMによる、大雨時における大柿ダム湖での土砂・137Cs挙動解析を実施した(4.2節)。上流から、河川流量、浮遊土砂、137Cs濃度を境界条件として付与した。解析で得られた放流工での浮遊土砂濃度、137Cs濃度の経時変化は、実測値とよく一致した。同様の検証を、Nays2D、FLESCOTでも実施した(Kurikami et al., 2014, 2016; Yamada et al., 2015a)。
- 土壌中深度プロファイルの経時変化の実測との比較、それに伴う線量率低下傾向の比較(深度移行モデル、線量率評価モデル)
- 深度移行モデルmDSFおよび線量率評価モデルADRETの組み合わせにより、放射性セシウムの土壌深さ方向への浸透に伴うガンマ線の遮蔽効果を計算によって確認。実測と整合する結果を得た(8.3節、Kurikami et al., 2017; 操上・Malins, 2017)。
- 除染の線量率低減効果の除染モデル実証事業結果との比較(線量率評価モデル)
- 線量率評価モデルADRETを利用し、放射性セシウムの深度分布と空間線量率の関係を解析し、実測値と整合することを確認した。また、田畑の除染手法である表土剥ぎ取り、反転耕、転地返しに対して空間線量率の低減効果を解析し、除染モデル実証事業における実験結果と比較し、除染効果の検証を行った(6.2節、Malins et al., 2016a)。
- 森林内での循環、森林から河川への流出率、河川水中放射性セシウム濃度などの整合性の確認(農林水産物移行評価モデル)
- 農林水産物移行評価モデルCMFWによる森林循環、河川流出の解析を実施した(7章)。森林内での137Csの循環の実測値(林野庁、2015)、河川水中の溶存137Cs濃度実測値(水産研究・教育機構、2017)と比較し整合する結果を得た(操上・佐久間、2018)。
10. 今後の課題
解析的研究ではこれまで、流域動態モデル、水域動態モデル、線量率評価モデル、深度移行モデル、農林水産物移行評価モデルを開発・整備し、それらを目的に応じて選択あるいは柔軟に組み合わせながら、中長期的な放射性セシウム分布・空間線量率分布の予測、河川から海に流出する放射性セシウムの流出量の評価、大雨時の放射性セシウムの河川・ダム湖での挙動の評価、環境中の放射性セシウムの動態が農林水産物中の放射性セシウム濃度に与える影響の評価などを行ってきた。
対象とする課題(あるいは社会的ニーズ)は、事故からの時間の経過とともに変化してきている。各モデルは個別にも検証が不十分であるなど技術的課題が残されている場合もあるが、同時に、調査の進展、社会的ニーズの変化に対応するよう、モデルを改良あるいは新しく開発することが必要であろう。具体的には、以下のような課題が挙げられる。
- SACT、CFMWなどで河川水中の放射性セシウム濃度の経時変化の実測との乖離がある。河川水中の放射性セシウム濃度の将来予測においてこの点は重要な課題である。放射性セシウムの深度方向への移行などを十分にモデルに反映していないことが原因と想定されており、解析モデルの改良が必要である。
- 淡水魚や野生動植物中の放射性セシウム濃度の低下速度は他の媒体に比べて遅く、複数の種に対して出荷制限や自粛などが続いている。生物利用性の高い溶存性の放射性セシウムの発生起源、あるいはそれに対応する土壌への収着メカニズムの解明が必要である。
- ダム湖内の評価では、これまで大雨時に上流から流入する放射性セシウムの緩衝効果を中心に検討を行ってきたが、近年、平水時においてダム湖底の堆積物からの放射性セシウムの溶脱(内部負荷)の影響が認められつつある。現時点で水利用に対して重要な課題とはなっていないものの、帰還に伴って河川流域の環境が変化すると、内部負荷の割合が増加し下流への影響が生じる可能性も考えられる。平水時の挙動を詳細に検討するためには、水域動態モデルにおいて、温度躍層、湖底堆積物からの放射性セシウムの溶脱の影響、フロキュレーションなどを再現するよう改良を行うことが必要となる。
- 線量率分布の詳細化は帰還促進において重要な情報である。これまでの線量率解析は、単純な地形を考慮したものであった。地形の影響や地上構造物の影響を考慮した高解像度化を継続して実施する必要がある。
解析的研究はそれ自身のみで成立しないことから、今後も観測結果との比較・検証を繰り返しながら各課題の解決に向けて精度を高めていくことが重要である。
参考文献
- Antonopoulos-Domis, M., Clouvas, A., Hiladakis, A., Kadi, S., 1995. Radiocesium distribution in undisturbed soil: measurements and diffusion-advection model. Health Phys. 69, 949-953.
- Furuta, T., Takahashi, F., 2015. Study of radiation dose reduction of buildings of different sizes and materials. J. Nucl. Sci. Technol. 52, 897-904.
- Haidvogel, D.B., Arango, H.G., Hedstrom, K., Beckmann, A., Malanotte-Rizzoli, P., Shchepetkin, A.F., 2000. Model evaluation experiments in the North Atlantic Basin: simulations in nonlinear terrain-following. Dynamics of Atmospheres and Oceans. 32, 239-281.
- He, Q. and Walling, D., 1997. The distribution of fallout 137Cs and 210Pb in undisturbed and cultivated soils. Appl. Radiat. Isot. 48, 677-690. doi:10.1016/S0969-8043(96)00302-8
- Imamura, N., Komatsu, M., Ohashi, S., Hashimoto, S., Kajimoto, T., Kaneko S., Takano, T., 2017. Temporal changes in the radiocesium distribution in forests over the five years after the Fukushima Daiichi Nuclear Power Plant accident. Sci. Rep. 7, 8179.
- Kato, H., Onda, Y., Hisadome, K., Loffredo, N., Kawamori, A., 2017. Temporal changes in radiocesium deposition in various forest stands following the Fukushima Dai-ichi Nuclear Power Plant accident. J. Environ. Radioact. 166(3), 449-457.
- Kim, M., Malins, A., Yoshimura, K., Sakuma, K., Kurikami, K., Kitamura, A., Machida, M., Hasegawa, Y., Yanagi, H., 2018. Simulation study of the effects of buildings and trees on ambient dose equivalent rates outdoors at three suburban sites near Fukushima Dai-ichi. J. Environ. Radioact. (Under Review).
- Kitamura, A., Yamaguchi, M., Kurikami, H., Yui, M., 2014. Predicting sediment and cesium-137 discharge from catchments in eastern Fukushima. Anthropocene. 5, 22-31.
- Kitamura, A., Kurikami, H., Sakuma, K., Malins, A., Okumura, M., Machida, M., Mori, K., Tada, K., Tawara, Y., Kobayashi, T., Yoshida, T., Tosaka, H., 2016. Redistribution and export of contaminated sediment within eastern Fukushima Prefecture due to typhoon flooding. Earth Surf. Process. Landforms 41, 1708-1726. doi:10.1002/esp.3944
- Konoplev, A., Golosov, V., Laptev, G., Nanba, K., Onda, Y., Takase, T., Wakiyama, Y., Yoshimura, K., Behavior of accidentally released radiocesium in soil-water environment: looking at Fukushima from a Chernobyl perspective, J. Environ. Radioact., vol.151, 2016, pp.568-578
- Kurikami, H., Kitamura, A., Yokuda, S.T., Onishi, Y., 2014. Sediment and 137Cs behaviors in the Ogaki Dam Reservoir during a heavy rainfall event. J. Environ. Radioact. 137, 10-17. DOI: 10.1016/j.jenvrad.2014.06.013
- Kurikami, H., Kitamura, A., Yamada, S., Machida, M., 2015. Modeling approach to various time and spatial scale environmental issues in Fukushima – related to radioactive cesium migration in aquatic systems -. Proc. ICONE-23, ICONE23-2125.
- Kurikami, H., Funaki, H., Malins, A., Kitamura, A., Onishi, Y., 2016. Numerical study of sediment and 137Cs discharge out of reservoirs during various scale rainfall events. J. Environ. Radioact. 164, 73-83.
- Kurikami, H., Malins, A., Takeishi, M., Saito, K., Iijima, K., 2017. Coupling the advection-dispersion equation with fully kinetic reversible/irreversible sorption terms to model radiocesium soil profiles in Fukushima Prefecture. J. Environ. Radioact. 171, 99-109.
- Liu, X., Machida, M., Kitamura, A., Kurikami, H., 2018. Simulations of radiocesium discharge from Abukuma river with improved cesium wash-off model. 原子力学会2018秋
- Malins, A., Okumura, M., Machida, M., Saito, K., 2015a. Topographic effects on ambient dose equivalent rates from radiocesium fallout. Proc. ANS MC2015. CD-ROM.
- Malins, A., Sakuma, K., Nakanishi, T., Yamada, S., Kurikami, H., Machida, M., Kitamura, A., 2015. Modelling evolution of air dose rates in river basins in Fukushima Prefecture affected by sediment-sorbed radiocesium redistribution. AGU Fall Meeting 2015.
- Malins, A., Kurikami, H., Nakama, S., Saito, T., Okumura, M., Machida, M., Kitamura, A., 2016a. Evaluation of ambient dose equivalent rates influenced by vertical and horizontal distribution of radioactive cesium in soil in Fukushima Prefecture. J. Environ. Radioact. 151, 38-49. doi:10.1016/j.envrad.2015.09.014
- Malins, A., Kurikami, H., Kitamura, A., Machida, M., 2016b. Effect of remediation parameters on in-air ambient dose equivalent rates when remediating open sites with radiocesium-contaminated soil. Health Physics. 111(4), 357-366.
- Matsuda, N., Mikami, S., Shimoura, S., Takahashi, J., Nakano, M., Shimada, K., Uno, K., Hagiwara, S., Saito, K., 2015. Depth profiles of radioactive cesium in soil using a scraper plate over a wide area surrounding the Fukushima Dai-ichi Nuclear Power Plant, Japan. J. Environ. Radioact. 139 427-434. doi:10.1016/j.envrad.2014.10.001
- Mikami, S., Maeyama, T., Hoshide, Y., Sakamoto, R., Sato, S., Okuda, N., Demongeot, S., Gurriaran, R., Uwamino, Y., Kato, H., Fujiwara, M., Sato, T., Takemiya, H., Saito, K., 2015. Spatial distributions of radionuclides deposited onto ground soil around the Fukushima Dai-ichi Nuclear Power Plant and their temporal change until December 2012. J. Environ. Radioact. 139, 320-343, doi:10.1016/j.envrad.2014.09.010
- Miyahara, K., McKinley, I., Saito, K., Hardie, S., Iijima, K., Use of Knowledge and Experience Gained from the Fukushima Daiichi Nuclear Power Station Accident to Establish the Technical Basis for Strategic Off-site Response, JAEA-review 2015-001, 2015.
- Mori, K., Tada, K. Tawara, Y. Ohno, K., Asami, M., Kosaka, K., Tosaka, H., 2015. Integrated watershed modeling for simulation of spatiotemporal redistribution of post-fallout radionuclides: application in radiocesium fate and transport processes derived from the Fukushima accidents. Environ. Model. Softw. 72, 126-146.
- Ohashi, S., Kuroda, K., Takano, T., Suzuki, Y., Fujiwara, T., Abe, H., Kagawa, A., Sugiyama, M., Kubojima, Y., Zhang, C., Yamamoto K., 2017. Temporal trends in 137Cs concentrations in the bark, sapwood, heartwood, and whole wood of four tree species in Japanese forests from 2011 to 2016. J. Environ. Radioact. 178-179, 335-342.
- Onishi, Y., Kivva, S.L., Zheleznyak, M.J., Voitsekhovich, O.V., 2007. Aquatic assessment of the chernobyl nuclear accident and its remediation. J. Environ. Eng. 133 (11), 1015-1023.
- Onishi, Y., Kurikami, H., Yokuda, S.T., 2014a. Simulation of sediment and cesium transport in the Ukedo river and the Ogi Dam reservoir during a rainfall event using the TODAM code. PNNL-23255.
- Onishi, Y., Graber, H.C., Trent, D.S., 1993. Preliminary Modeling of Wave-enhanced Sediment and Contaminant Transport in New Bedford Harbor, Coastal and Estuarine Studies, Vol. 42, Nearshore and Estuarine Cohesive Sediment Transport, A. J. Mehta ed., American Geophysical Union. DOI: 10.1029/CE042p0541
- Onishi, Y., Kurikami, H., Yokuda, S.T., 2014b. Preliminary three-dimensional simulation of sediment and cesium transport in the Ogi Dam reservoir using FLESCOT – Task 6, subtask 2. PNNL-23257.
- Saegusa, H., Ohyama, T., Iijima, K., Onoe, H., Takeuchi, R., Hagiwara, H., 2016. Deposition of radiocesium on the river flood plains around Fukushima. J. Environ. Radioact. 164, 36-46.
- Saito, K., Onda, Y., 2015. Outline of the national mapping projects implemented after the Fukushima accident. J. Environ. Radioact. 139, 240-249.
- Sakuma, K., Kitamura, A., Malins, A., Kurikami, H., Machida, M., Mori, K., Tada, K., Kobayashi, T., Tawara, Y., Tosaka, H., 2017. Characteristics of radio-cesium transport and discharge between different basins near to the Fukushima Dai-ichi Nuclear Power Plant after heavy rainfall events. J. Environ. Radioact. 169-170, 130-150. doi:10.1016/j.jenvrad.2016.12.006
- Sakuma, K., Malins, A., Funaki, H., Kurikami, H., Niizato, T., Nakanishi, T., Mori, K., Tada, K., Kobayashi, T., Kitamura, A., Hosomi, M., 2018a. Evaluation of sediment and 137Cs redistribution in the Oginosawa River catchment near the Fukushima Dai-ichi Nuclear Power Plant using integrated watershed modeling. J. Environ. Radioact. 182, 44-51. doi:10.1016/j.jenvrad.2017.11.021
- Sakuma, K., Tsuji, H., Hayashi, S., Funaki, H., Malins, A., Yoshimura, K., Kurikami, H., Kitamura, A., Iijima, K., Hosomi, M., 2018b. Applicability of Kd for modelling dissolved 137Cs concentrations in Fukushima river water: Case study of the upstream Ota River. J. Environ. Radioact. 185, 53-62. doi: 10.1016/j.jenvrad.2018.01.001
- Sanada, Y., Kondo, A.,Sugita, T., Nishizawa, Y., Yuuki. Y., Ikeda, K., Shoji, Y., Torii, T. 2013. Radiation monitoring using an unmanned helicopter in the evacuation zone around the Fukushima Daiichi nuclear power plant. Exploration Geophysics, 45(1), 3-7. https://doi.org/10.1071/EG13004
- Sato, T., Iwanoto, Y., Hashimoto, S., Ogawa, T., Furuta, T., Abe, S., Kai, T., Tsai, P.E., Matsuda, N., Iwase, H., Shigyo. N., Sihver, L., Niita, K., 2018. Features of Particle and Heavy Ion Transport Code System PHITS Version 3.02, J. Nucl. Sci. Technol. 55, 684-690.
- Shimizu, Y., 2003. Mutual relation between riverbed and bank variation characteristics in river channel landform formation. Proc. Hydraul. Eng. 47, 643–648.
- Shimizu Y., Inoue, T., Hamaki, M., Iwasaki, T. (ed), 2012. iRIC Software Nays2D Solver Manual iRIC Project. http://people.eri.ucsb.edu/~lharrison/MeanderModelLit/NAYS/Nays2D_SolverManual.pdf
- Takahashi, J., Tamura, K., Suda, T., Matsumura, R., Onda, Y., 2015. Vertical distribution and temporal changes of 137Cs in soil profiles under various land uses after the Fukushima Dai-ichi Nuclear Power Plant accident. J. Environ. Radioact. 139, 351-361. doi:10.1016/j.jenvrad.2014.07.004
- Tosaka, H., Itoh, K., Furuno, T., 2000. Fully coupled formulation of surface flow with 2-phase subsurface flow for hydrological simulation. Hydrological Processes. 14, 449–464.
- Toso, J.P. and Velasco, R.H., 2001. Describing the observed vertical transport of radiocesium in specific soils with three time-dependent models. J. Environ. Radioact. 53, 133-144. doi:10.1016/S0265-931X(00)00105-3
- Vanoni, V.A. (ed.), 1975. Sedimentation Engineering, ASCE Manuals and Report on Engineering Practice. American Society of Civil Engineers, New York.
- Yamada, S., Kitamura, A., Kurikami, H., Yamaguchi, M., Malins, A., Machida, M., 2015a. Sediment and 137Cs transport and accumulation in the Ogaki Dam of eastern Fukushima. Environ. Res. Lett. 10, 014013. DOI: 10.1088/1748-9326/10/1/014013
- Yamada, S., Kitamura, A., Kurimkami, H., Machida, M., 2015b. High performance simulation for sediment transport on rivers on Fukushima area: Parallelization of 2D river simulation code Nays2D, Proc. of M&C+SNA+MC 2015.
- Yamaguchi, M., Kitamura, A., Oda, Y., Onishi, Y., 2014. Predicting the long-term 137Cs distribution in Fukushima after the Fukushima Dai-ichi nuclear power plant accident: a parameter sensitivity analysis. J. Environ. Radioact. 135, 135-146.
- 操上・新里・鶴田・加藤・北村・菅野・黒澤, 2017. 放射性物質の環境動態に伴う被ばく経路を考慮したコンパートメントモデルの構築. JAEA-Research 2016-020.
- 操上・佐久間, 2018. 放射性セシウムの森林からの流出が淡水魚の濃度に与える影響に関する解析的検討. JpGU2018, MAG33-P05.
- 操上・Malins, 2017. Numerical study on sorption kinetics affecting vertical profile of radiocesium in soil and air dose rates. JpGU2017, MAG34-09.
- 佐久間ほか, 2018(除染学会誌)
- 眞田・西澤・山田・池田・松井・土田・佐藤・平山・高村・西原・伊村・石田・卜部・志風・杉田・近藤・鳥居, 2014. 原子力発電所事故後の無人ヘリコプターを用いた放射線測定. JAEA-Research 2013-049.
- 水産研究・教育機構, 2017. 平成28年度放射性物質影響解明調査事業報告書.
- 中西, 2016. 福島長期環境動態研究(F-TRACE)— 河川調査 —. 2015年版東京電力(株)福島第一原子力発電所事故に係る廃止措置及び環境回復への原子力機構の取り組み. 68-69.
- 日本原子力研究開発機構,福島第一原子力発電所事故に係る避難区域等における除染実証業務 報告書,2012
- 山口・前川・竹内・北村・大西, 2013. 土砂移動に着目した福島第一原子力発電所事故後の放射性物質分布に関する解析手法の開発. バックエンド研究. 20(2), 53-69.
- 林野庁, 2015. 平成26年度森林内の放射性物質の分布状況調査結果について(別添). http://www.rinya.maff.go.jp/j/press/kaihatu/150327.html, 閲覧:2018年7月24日.




