Effects on Ecosystem
(2019)
QWhat conditions influence the radioactive cesium concentration in freshwater fish?
AA research group of the National Institute for Environmental Studies studied 30 freshwater fish species, such as the yamame (masu salmon) and the iwana (char), in lakes and rivers in Fukushima Prefecture.
The results show that the feeding habit, or what fish eat, has a strong influence on the radioactive cesium accumulation in fish living in lakes, while for fish living in rivers, water quality has a greater influence than the feeding habit. The researchers have revealed that a major determinant of the likelihood of radioactive cesium accumulation in fish is markedly different between lakes and rivers.
These research results are expected to contribute to more accurate predictions of how radioactive cesium concentrations will decrease in freshwater fish, whose radioactive contamination continues longer than that of seawater fish.

Fig.1 Factors affecting the likelihood of radioactive cesium accumulation in fish

Fig.2 Transfer coefficient to freshwater fish and factors affecting the transfer coefficient
A transfer coefficient is obtained by dividing the cesium concentration in fish by the cesium concentration in their habitat waters (Fig. 2).
It is assumed that the larger the transfer coefficient is, the more likely cesium is to accumulate.

Fig.3 An image showing the sampling sites of the aquatic life monitoring conducted by the Ministry of the Environment in Fukushima Prefecture and used for the data analysis
The Ministry of the Environment monitors aquatic life in three lakes (Lake Hayama, Lake Inawashiro, and Lake Akimoto) and five rivers (Uda River, Mano River, Niida River, Ota River, and Abukuma River) in Fukushima Prefecture. Monitoring data from 2013 to 2017 was used to calculate transfer coefficients and analyze their relationships with water quality and ecological characteristics of fish (Fig. 3).

Fig.4 Factors affecting the radioactive cesium transfer coefficient of freshwater fish

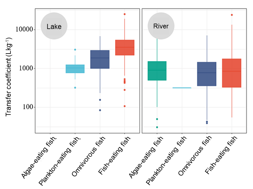
Fig.5 Radioactive cesium transfer coefficients for freshwater fish in lakes and rivers
- The radioactive cesium transfer coefficients for freshwater fish in Fukushima Prefecture ranged from 30 to 25,000, which were similar to transfer coefficients reported in post-Chernobyl accident studies.
- Transfer coefficients for freshwater fish were found to be far higher than those for seawater fish (generally not more than 100).
- Factors affecting the transfer coefficient are widely different between lakes and rivers. In both lakes and rivers, it is estimated that the “size effect” has occurred, in which the larger the fish is, the higher its radioactive cesium concentration is. Meanwhile, the influence of the feeding habit, or what fish eat, was observed only in lakes.
- A comparison of fish transfer coefficients by feeding habit shows that fish-eating fish species in lakes, such as the masu salmon, char, and smallmouth bass, have higher transfer coefficients (Fig. 5). It is likely that biomagnification has occurred to them as they eat other fish, and increases their cesium concentrations.
- The fish habitat (classified into pelagic, benthopelagic, and demersal fish) was found to have no influence on the transfer coefficient in either lakes or rivers. Among seawater fish, relatively high radioactive cesium concentrations have been reported on demersal fish, but no such tendency is assumed among freshwater fish.
Related articles
- How is the concentration of radioactive cesium in river fish changing over time?
- What is the source of radiocesium in freshwater fish?
- When it rains, does radioactive cesium flow out of forests with soil? 【137Cs flow in heavy rain】
- When it rains, does radioactive cesium flow out of forests with soil? 【137Cs flow from river basins and mountain slope】
- Does contamination of estuaries continue due to continuous outflow of radioactive cesium from rivers?